当前位置: 网站首页 > 通知公告 > 正文

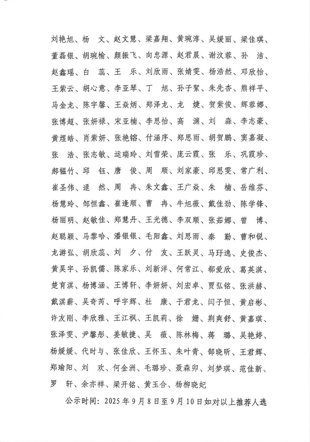
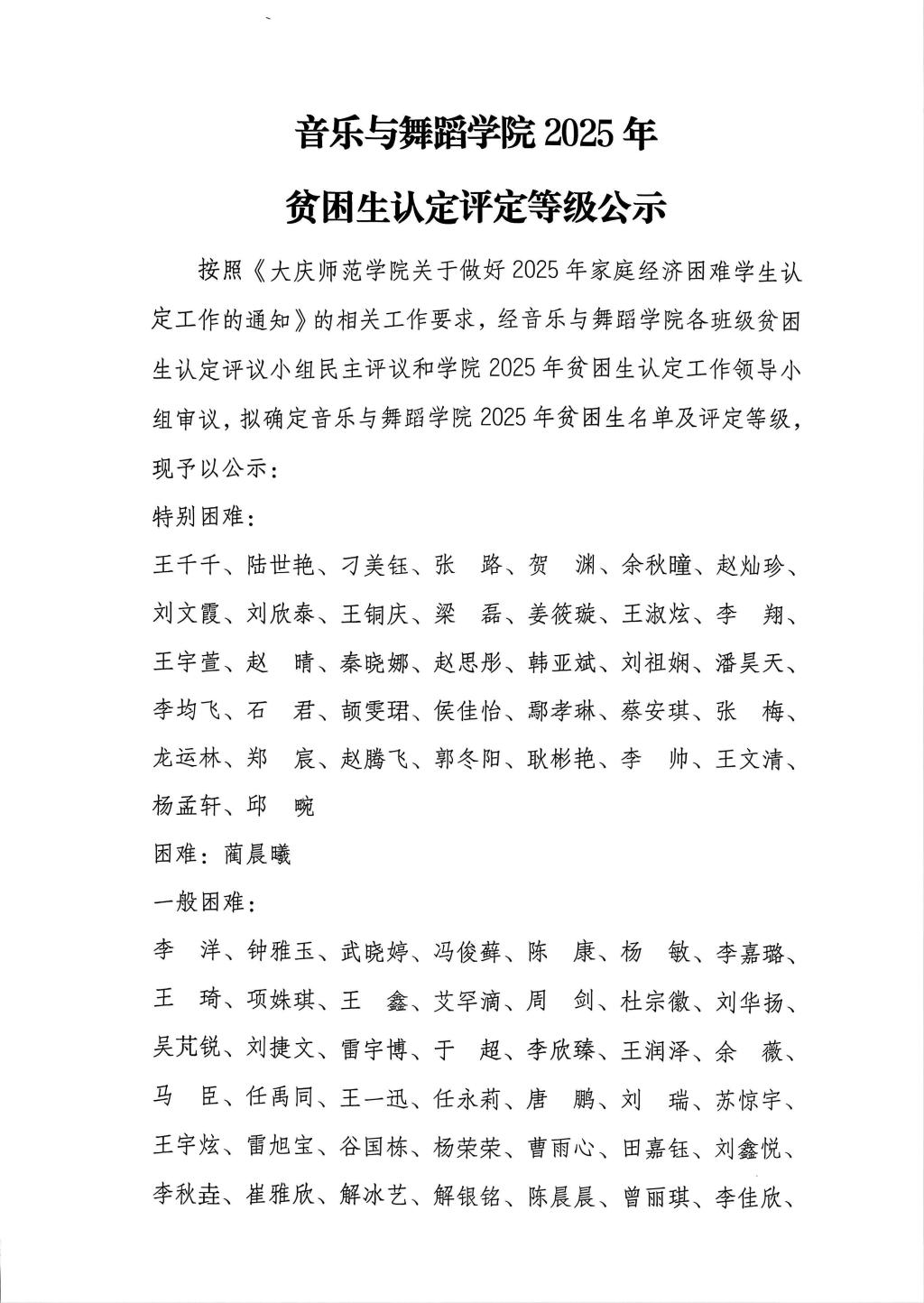
音乐与舞蹈学院2025年贫困生认定评定等级公示

作者: 点击数:[] 更新时间:2025年09月08日


关于我们

地址:黑龙江省大庆市让胡路区西宾西路

信息管理:党委宣传部

邮编:163712 Email:webmaster@dqsy.net